Human LILRB2/CD85d/ILT4 Protein (LIL-HM2B2)
  • Express System: HEK293
  • Product Tag: C-hFc (IgG1)
  • Purity: > 95% as determined by Bis-Tris PAGE;> 95% as determined by HPLC
  • Activity: Immobilized Human LILRB2, hFc Tag at 1ug/ml (100ul/well) on the plate. Dose response curve for Biotinylated Anti-LILRB2 Antibody, hFc Tag with the EC50 of 35.4ng/ml determined by ELISA (QC Test). The affinity constant of 9.20nM as determined in SPR assay (Biacore T200).
  • Amino Acid Range: Gln22-Arg457
  • Other Available Proteins:
    Loading...
Catalog #LIL-HM2B2
Regular price $223.30
/
Size

Order by 4pm ET for delivery on:

Human LILRB2/CD85d/ILT4 Protein (LIL-HM2B2) Summary

Product Description

Recombinant Human LILRB2/CD85d/ILT4 Protein is expressed from HEK293 with hFc (IgG1) tag at the C-terminus.It contains Gln22-Arg457.

Product Background

The immunoglobulin-like transcript (ILT) comprise a family of activating and inhibitory type immunoreceptors whose genes are located in the same locus that encodes killer cell Ig-like receptors (KIR). ILT4, also known as LIR-2 and LILRB2, is a type I transmembrane protein expressed primarily on monocytes and dendritic cells (DC). LILRB2 is a receptor for class I MHC antigens. Recognizes a broad spectrum of HLA-A, HLA-B, HLA-C, HLA-G and HLA-F alleles.

Product Category

Recombinant Protein / Antibody discovery / Immune checkpoint proteins

Human LILRB2/CD85d/ILT4 Protein (LIL-HM2B2) Specifications/Details

Protein
LILRB2/CD85d/ILT4
Synonyms
CD85d; ILT4; ILT-4; ILT4CD85d; LILRB2; LIR2; MIR10
Accession
Species
Human
Biotinylated
no
Amino Acid Range
Gln22-Arg457
Molecular Weight
The protein has a predicted MW of 74.1 kDa. Due to glycosylation, the protein migrates to 80-110 kDa based on Bis-Tris PAGE result.
Activity
Immobilized Human LILRB2, hFc Tag at 1ug/ml (100ul/well) on the plate. Dose response curve for Biotinylated Anti-LILRB2 Antibody, hFc Tag with the EC50 of 35.4ng/ml determined by ELISA (QC Test). The affinity constant of 9.20nM as determined in SPR assay (Biacore T200).
Product Tag
C-hFc (IgG1)
Expression System
HEK293
Purity
> 95% as determined by Bis-Tris PAGE;> 95% as determined by HPLC
Endotoxin
Less than 1 EU per ug by the LAL method.

Shipping, Reconstitution, & Storage

Form
Lyophilized
Shipping
Shipped at ambient temperature.
Formulation
Lyophilized from 0.22um filtered solution in 20mM Tris, 100mM glycine, 100mM L-arginine, 150mM NaCl (pH 7.5) / PBS, 200mM L-Arginine (pH 7.4). Normally 8% trehalose is added as protectant before lyophilization.
Reconstitution
Dissolve the lyophilized protein in distilled water. It is recommended to resuspend at 0.5 mg/mL if the lyophilized powder is 100 ug or less, at 1mg/ml for 500ug or 1mg lyophilized powder. Do not mix by vortex or vigorous shaking.
Stability And Storage
-20 to -80°C for 12 months as supplied from date of receipt.;-80°C for 3 months after reconstitution.;Recommend to aliquot the protein into smaller quantities for optimal storage. Please minimize freeze-thaw cycles.

Validation Images

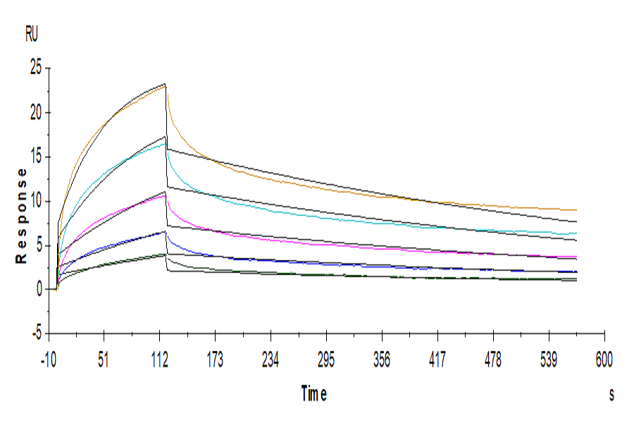
Human LILRB2, hFc tag captured on Protein A Chip can bind Human HLA-G&B2M&Peptide (RIIPRHLQL) Tetramer, His Tag (Cat. HLG-HM41CT) with an affinity constant of 9.20nM as determined in SPR assay (Biacore T200). Human LILRB2, hFc tag captured on Protein A Chip can bind Human HLA-G&B2M&Peptide (RIIPRHLQL) Tetramer, His Tag (Cat. HLG-HM41CT) with an affinity constant of 9.20nM as determined in SPR assay (Biacore T200).
Human LILRB2, hFc Tag captured on Protein A chip, can bind Human ANGPTL2, His Tag (Cat. ANG-HM4L2) with an affinity constant of 0.14uM as determined in a SPR assay (Biacore T200). Human LILRB2, hFc Tag captured on Protein A chip, can bind Human ANGPTL2, His Tag (Cat. ANG-HM4L2) with an affinity constant of 0.14uM as determined in a SPR assay (Biacore T200).
Immobilized Human LILRB2, hFc Tag at 1ug/ml (100ul/well) on the plate. Dose response curve for Biotinylated Anti-LILRB2 Antibody, hFc Tag with the EC50 of 35.4ng/ml determined by ELISA (QC Test). Immobilized Human LILRB2, hFc Tag at 1ug/ml (100ul/well) on the plate. Dose response curve for Biotinylated Anti-LILRB2 Antibody, hFc Tag with the EC50 of 35.4ng/ml determined by ELISA (QC Test).
Immobilized Biotinylated Human ANGPTL7, His Avi Tag (Cat. ANG-HM407) at 5ug/ml (100ul/well) on the streptavidin precoated plate (5ug/ml). Dose response curve for Human LILRB2, hFc Tag with the EC50 of 3.09ug/ml determined by ELISA. Immobilized Biotinylated Human ANGPTL7, His Avi Tag (Cat. ANG-HM407) at 5ug/ml (100ul/well) on the streptavidin precoated plate (5ug/ml). Dose response curve for Human LILRB2, hFc Tag with the EC50 of 3.09ug/ml determined by ELISA.
Human LILRB2 on Bis-Tris PAGE under reduced condition. The purity is greater than 95%. Human LILRB2 on Bis-Tris PAGE under reduced condition. The purity is greater than 95%.
Loaded Human LILRB2, hFc Tag on ProA-Biosensor can bind Human ANGPTL4, His Tag (Cat. ANG-HM1L4) with an affinity constant of 72.10 nM as determined in BLI assay (Gator® Prime). Loaded Human LILRB2, hFc Tag on ProA-Biosensor can bind Human ANGPTL4, His Tag (Cat. ANG-HM1L4) with an affinity constant of 72.10 nM as determined in BLI assay (Gator® Prime).
The purity of-Human LILRB2 is greater than 95% as determined by SEC-HPLC. The purity of-Human LILRB2 is greater than 95% as determined by SEC-HPLC.
Have more questions?

Check out our Frequently Asked Questions page for more details about product specifications, ordering, and shipments.

Recommended Products

Recently viewed